√無料でダウンロード! ©ñ½ñ jR[ CXg «û 297340
The Importance Measure Of Fuzzy Input On Failure Credibility Under The Fuzzy Uncertainty Sciencedirect
©ñ½ñ jR[" CXg '«û
©ñ½ñ jR[" CXg '«û-


If F And G Are The Functions Whose Graphs Are Shown Let U X F G X V X G F X And W X G G X Find Each Derivative Wyzant Ask An Expert


List Of Unicode Characters Wikipedia


If F And G Are The Functions Whose Graphs Are Shown Let U X F G X V X G F X And W X G G X Find Each Derivative Wyzant Ask An Expert


Windows 1252 Wikipedia


Spanish Orthography Wikipedia


Psicotecnicos Calameo Downloader


Academic Edge


0 Lmn Lo L Pq R L Stu V W Xy Z 1 A B Cd Efgh Bij Ekgh Leemnopqrst U5 Vswx Y Bgz


Latin Script Wikipedia


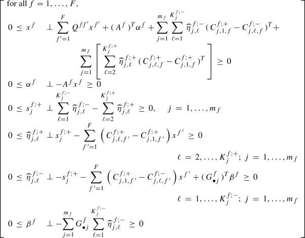
Piecewise Affine Parameterized Value Function Based Bilevel Non Cooperative Games Springerlink


Altgr Key Wikipedia


0 Lmn Lo L Pq R L Stu V W Xy Z 1 A B Cd Efgh Bij Ekgh Leemnopqrst U5 Vswx Y Bgz


Essentials Of Relativistic Quantum Chemistry The Journal Of Chemical Physics Vol 152 No 18


Covid 19 Optimal Vaccination Policies A Modeling Study On Efficacy Natural And Vaccine Induced Immunity Responses Medrxiv


Pdf Design Of Ultra Wide Angle Photographic Objective Based On Zemax


Riemannian Optimal Model Reduction Of Linear Port Hamiltonian Systems Sciencedirect


Alt Codes How To Type Special Characters And Keyboard Symbols On Windows Using The Alt Keys


I I 9 I I Passwordsync


Altgr Key Wikipedia


Characters For Copy Pasting


Altgr Key Wikipedia


Mt2r Motorcycle Club Dalex Acosta Design


How Spanish Got Its N The Story Behind That N With A Tilde Youtube


Web Page Portfolio Domestika


Pdf Lower Generalized Order Statistics From Exponentiated Gamma Distribution And Its Characterization


Solved A 1 B 2 C 3 D 4 E 5 F 6 G 7 H 8 I J 9 1 0 K 1 1 L Chegg Com


Manual De Identidad Corporativa Calameo Downloader


Solved Vectors And The Geometry Of Space 1 Let A 2i Chegg Com


Ug Math


Let U 1 2 3 4 5 6 7 8 9 A 1 2 3 4 B 2 4 6 8 And C 3 4 Youtube


Ug Math


Ascii Code


Microtus Socialis High Resolution Stock Photography And Images Alamy


The Importance Measure Of Fuzzy Input On Failure Credibility Under The Fuzzy Uncertainty Sciencedirect


The Importance Measure Of Fuzzy Input On Failure Credibility Under The Fuzzy Uncertainty Sciencedirect


Let M And N Be Two 3x3 Matrices Such That Mn Nm Further If M N 2 And M 2 N 4 Then Which O Youtube


Solved A 1 B 2 C 3 D 4 E 5 F 6 G 7 H 8 I J 9 1 0 K 1 1 L Chegg Com


Solved Vectors And The Geometry Of Space 1 Let A 2i Chegg Com


If F And G Are The Functions Whose Graphs Are Shown Youtube


0 Lmn Lo L Pq R L Stu V W Xy Z 1 A B Cd Efgh Bij Ekgh Leemnopqrst U5 Vswx Y Bgz


How To Type Symbols And Letters With Accent Marks


管理 罗定职业技术学院经管系毕业实习手册下载 Word模板 爱问共享资料


Optimal Computational Split State Non Malleable Codes Springerlink


Round5 Compact And Fast Post Quantum Public Key Encryption Springerlink


A Delightful Site For Writers And Lovers Of Words And Language It Is All About The Number Zero Its Place In The History Philosophy And World Literatures We Have Heard Of Calling Someone A Total Zero As An Insult But What Does Zero Really Mean This


Three Dimensional Solitary Waves With Electrically Tunable Direction Of Propagation In Nematics Nature Communications


Manual De Identidad Corporativa Marca Starbucks Vebuka Com


Spanish Orthography Wikipedia


Graph Reconstruction And Verification


Short Discrete Log Proofs For Fhe And Ring Lwe Ciphertexts Springerlink


Jurt High Resolution Stock Photography And Images Alamy


Scriptsource Entry Phonetic Symbol Guide


0 Lmn Lo L Pq R L Stu V W Xy Z 1 A B Cd Efgh Bij Ekgh Leemnopqrst U5 Vswx Y Bgz


Candy Ctg 1256 Sy User Manual Manualzz


Familia De Letras By Andy Vila Issuu


コメント
コメントを投稿